PHYSICS 113
Assignment #5
SOLUTIONS
Chapter 7
16. Give some everyday examples of the transport of heat by convection and by radiation.
Convection occurs as result of the movement of "hot" mass to cooler locations. Thus convection transports heat from the regions of high temperatures to those of low temperatures. We often refer to these motions as convection currents. As an everyday example of convection, we see: (i) the shimmering effect of hot air rising off the surface of a road in summer; (ii) the boiling of water.
Radiation is a mechanism for transporting energy wherein light (photons) carries the energy. An everyday example of radiational heating would be: (i) tanning; and (ii) absorption of the infrared photons being generated by a hot element or a fire.
Chapter 8
2. Explain why color is a measure of a star's temperature. [It might be useful to look at Table 8.1 in the text or the table of spectral types that can be found in the course handouts.]
According to Wien's law, the surface temperature (T) of a star determines at what wavelength the
star's continuous spectrum has its maximum brightness (i.e.,
max).
Since
max is inversely
proportional to the surface temperature of a star, hot (high T) stars generate a lot of
short-wavelength radiation (blue side of the spectrum). Conversely, cool (low T) stars generate a lot
of long-wavelength radiation (red side of the spectrum). Thus a spectral class M star with a
surface temperature of 3000K emits a lot of red and infrared radiation (the star appears red). A hot
star (spectral class O with a surface temperature of 35000K), on the other hand, emits a lot of blue
and UV radiation (the star appears blue/violet). Thus the color of a star is a measure of a its
temperature.
23. What are the approximate spectral classes for stars whose wavelength of maximum light (
max)
have the following values:
a. 290 nm = 0.290 microns
b. 50 nm = 0.050 microns
c. 600 nm = 0.600 microns
d. 1200 nm = 1.200 microns
e. 1500 nm = 1.500 microns
The spectral type of a star can be inferred using the information found in Table 8.1 of the text or
from the table of spectral types in the handouts. But first we need to know the surface temperature
(T) of a star using Wien's law. According to Wien's Law, the wavelength (in microns) at which a
blackbody radiates its maximum intensity is
max (microns) = 2900 / T (K). We can now rearrange
this equation and isolate T in terms of
max. Thus T(K) = 2900/
max where the wavelength is
expressed in microns.
a. Since 1 micron = 1000 nm, thus 290 nm = 290/1000 microns = 0.290 microns (or micrometres)
Thus T(K) = 2900/0.290 = 10,000 K. According to the table, this is a spectral class A star.
b. 50 nm = 50/1000 microns = 0.05 microns
Thus T(K) = 2900/0.05 = 58,000 K. According to the table, this is a spectral class O star.
c. 600 nm = 600/1000 microns = 0.6 microns
Thus T(K) = 2900/0.6 = 4,833 K. According to the table, this is a spectral class K star.
d. 1200 nm = 1200/1000 microns = 1.2 microns
Thus T(K) = 2900/1.2 = 2,417 K. According to the table, this is a spectral class M star.
e. 1500 nm = 1500/1000 microns = 1.5 microns
Thus T(K) = 2900/1.5 = 1,933 K. According to the table, this is a spectral class M star.
Chapter 9
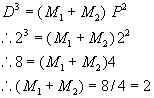
22. Find the combined mass of two stars in a binary system whose period of mutual revolution is two years, and for which the semimajor axis of the relative orbit is 2 AU.
We're given that the orbital period is P = 2 yrs and that the semimajor axis is D = 2 AU. The period of such a binary system can be easily determined by examining the light curve and the semimajor axis can be inferred by measuring the angular separation between the two stars (if the distance to the binary system is known). We can determine the total mass of this binary system using Kepler's third law. According to the equation,

Thus the total mass (M1 + M2) of both stars in this binary system is 2 Msun (two solar masses). We would need further information if we were to determine the mass of each star in the binary system individually. Either we would need to know the velocities of each star (which could be obtained from spectroscopy by measuring the Doppler shifts of the spectral lines) or using the light curve (if the binary is eclipsing).